- 最新文章
- 点击排行榜
新闻动态更多
员工收入差距应该大还是小?
发布时间:2021-12-15 , 发布人:华恒智信分析员
很多创业者或管理者说,我小心翼翼平衡员工工资,尽量照顾业绩差的员工。结果员工离职率反而高了,人才密度降低了,团队的业绩也变差了。
还有一些HR,在招人时会尽量节省成本,薪资能压就尽量压。结果投资成本是降低了一点,但回报率降低的更多。
所以,员工工资应该怎么设置,差距到底应该大一点,还是小一点。
— 1 —
在回答这个问题前,我们需要先了解一个概念:方差。
什么叫方差呢?
方差就是衡量离散程度的参数,或者说表示一组数据差异性大小的参数。
我举个例子。1993年深圳大学毕业生的平均工资是1个亿。啊?这么高。为什么?因为那一届的毕业生里有马化腾。
所以,你听起来那一届毕业生工资很高,其实大部分人的工资还是很低的,因为马化腾拉高了毕业生的平均值。
所以大家和马化腾收入的方差是很大的,这里就涉及了一个方差的概念。
方差大,代表差距大,稳定性差。方差小,代表差距小,稳定性好。
刚刚说到方差是衡量离散程度的参数。那具体怎么计算呢,比如有两组数据X和Y。
X :50 100 100 60 50
Y:73 70 75 72 70
X的平均数是72,中位数是60,众数是50或100。Y的平均数也是72,中位数是72,众数是70。
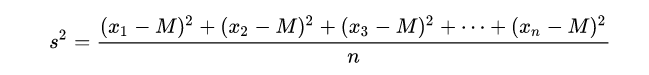
方差呢,方差等于各个数据与其算术平均数的离差平方和的平均数。

通过这个公式,可以得出X组数据的方差是2680/5=536
Y组数据的方差是18/5=3.6
很明显,Y的方差比X小,这两组数,Y比X更有稳定性。
— 2 —
我们知道了方差的计算方法,那方差到底应该大了好,还是小了好。
或者我换个说法,什么时候,我们希望方差大一些,什么时候又希望方差小一点。
比如,你在河边捕鱼,这时候有个经济学家想过河,他想趟过去,经济学家身高一米七,他问你这条河有多深,你告诉他平均深度一米。
这时候经济学家期望方差大一点还是小一点。
当然是小一点。
为什么?
这条河的平均深度是一米,但是只要有一个地方深度超过一米七,咕嘟一下他就上不来了啊。所以无论如何,他一定是希望方差小一点。
那什么时候,你会希望方差尽量小一点呢。
比如,你平时都是开车去公司,开车平均用时1小时,最快半个多小时就能到,但如果遇到堵车可能要1个多小时。
偶尔会坐地铁,坐地铁平均用时也是1小时。
但你今天约了个人,9点必须到办公室。你一看表,哎呀,糟了,还有十分钟就八点了。怎么办,怎么办,开车还是坐地铁。
我猜99%的人可能都会坐地铁,为什么?因为地铁准时啊,坐地铁花的时间是可控的。
准时、可控,翻译过来就是坐地铁花的时间的方差比较小。
为什么这么说呢?
想象一下这个场景。
你匆匆忙忙跑到地铁站,刚刷卡进站。地铁门“砰”一下就在你眼前关上了,你眼睁睁看着地铁开走,觉得特别倒霉。
但是,但是,不到五分钟,又一趟地铁开过来了。
空荡荡的没几个人,还没上一班拥挤,你从容地走进去,慢悠悠地找了个靠边的位置坐下,不紧不慢地拿出耳机,打开五分钟商学院听了起来。
所以坐地铁,你从家到地铁站,从地铁站到公司,花的时间基本是恒定的。最大的差异就在于,你有没有赶上最近的那趟地铁,没赶上,最多可能多花5分钟等下一班。
但是,开车就不一样了,开车需要多长时间你是不可控的。
虽然有时候,你可能会人品爆发,一路绿灯,本来要花1小时的,结果半小时就到了。
但遇到堵车,那堵起来简直是无穷无尽的,你再着急,也只能耐着性子告诉自己,淡定,再淡定。
所以和坐地铁相比,开车花的时间是不可控的,开车所花时间的方差也更大。
遇到必须准时到的情况,我建议你最好选择坐地铁,可能不用我建议。因为地铁用时的方差更小,时间更可控,不容易耽误事儿。
— 3 —
现在,我们回到文章最开始的问题。在公司,员工收入的方差到底大点好,还是小点好。
我建议大点好。
为什么?
因为员工收入差距太小,那些优秀的人才会慢慢流失,最后会出现死海效应。
但有时候你可能出自良善的目的,想努力平衡大家收入,尽量照顾到业绩不好的员工。
但这样一碗水端平,导致的结果就是,优秀的人越来越少,能力一般的人越来越多,人才密度降低,最后就会影响整个团队的业绩水平。
甚至这些能力比较一般的人,工作了很多年后,慢慢成了公司高管。这时候就会出现死海效应。
举个例子。
如果一个团队,大部分人能达到90分,还有少数几个80分。但是80分和90分收入差距较大。
这些80分的人呢,跳一跳就能够到90分。那他们一定愿意跳起来,最后,80分的员工也会主动成长为90分。
但是,如果这个团队有很多60分的员工,还有一些80分的员工,大家收入差距不明显。
这时候80分的员工就会想,算了算了,反正我躺着也能到70分,何必那么累呢。
最后,这些80分的人,可能就成了70分,甚至60分。
那些不想成为60分,70分,也不想继续停在80分的人呢,就会主动离开,去到能获得更多成长,也能拿到更高薪资的公司。
时间久了,那些能力强的员工都走得差不多了,能力比较普通的员工呢,就慢慢成了公司高管,这时候公司就会出现死海效应。
如果不想出现死海效应怎么办,员工收入的方差大一点。这样更容易激发员工斗志,提高人才密度。
你必须得认识到一点,面对人才,核心关键不是看损耗,不是看你的成本有多低,而是看他带来的回报和产出有多少。
在软件行业,有这样一个说法:一名精英程序员写出来的代码,比一名普通程序员写出来的,要贵上一万倍。
有时候,一个非常优秀的员工创造的价值,可能是普通员工的几倍甚至几十倍。
所以,你不能指望用一个普通人的待遇去留住一个卓越的人才。
比如,我们以前写过的网飞,就是一家人才密度非常高的公司。
那这家公司是怎么设置员工收入的呢。
他们把岗位分成了操作性和创造性两种。
操作性岗位,就是那些按流程来操作完成,不需要太多的创造性的岗位,这类岗位的员工,就按市场价开工资。
另一类是创造性岗位。我们知道网飞是一家对创造性要求非常高的公司,对于创造性岗位,网飞会给一位能力超强的员工开出市场上最高的工资。
他们还做了一件事,我觉得特别了不起。为了留住优秀人才,他们会鼓励员工去其他公司面试,了解不同阶段自己在市场上的价值。
假如员工面试回来发现,外面给的工资比网飞要高。员工可以重新谈工资的。
比如,面试回来发现,有公司给的年薪是130万,那我就给你140万。
过了一段时间员工又去面试,发现别的公司居然能给到150万,那我给你160万。
永远保证员工拿到的工资是市场上最高的。
我们刚提到,面对人才,核心关键不是看损耗,不是看你的成本有多低,而是看他带来的回报和产出有多少。
看起来网飞给员工支付了很高的工资,但这些拿着市场上最高薪资,极具创造力的员工,也给网飞创造了巨大的价值。比如,你知道的《权利的游戏》《纸牌屋》都是网飞的作品。
最后的话
我们说方差是衡量离散程度的参数。
如果一组数的方差大,就代表差异大,稳定性差。方差小,差异就小,稳定性强。
那什么时候,我们需要方差大一点呢,比如员工收入。
因为员工收入差距太小,优秀的人才容易流失,渐渐地,能力一般的员工成了公司高管,就会导致死海效应。
在合理的范围内,员工收入差距尽量大一点,这样更容易激发员工斗志,提高人才密度。
来源:MBA智库资讯
扫一扫,关注



